数学一分钟球的表面积公式推导证明 哔哩哔哩 Bilibili
球の体積と表面積 半径 r r の球の体積と表面積を求める公式は以下のようになります。 球の体積= 4 3 πr3 球 の 体 積 = 4 3 π r 3 球の表面積=4πr2 球 の 表 面 積 = 4 π r 2 「なぜこの公式が成立するのか」については中学生の知識の範囲外です。 証明に 答えは 「A」「B」「C」の表面積は同じ です。 表面積が同じであることを証明してみましょう。 まずは、下の図 (球を横から見た図)のグレーの部分の表面積を求めてみましょう。 この部分の表面積は積分で求めることができます。 表面積は で表せることがわかりました。 「A」「B」「C」は全てなので、表面積が同じ であることがわかります。 球の表面積は切断面の高さに比例す
球 表面積 証明 中学
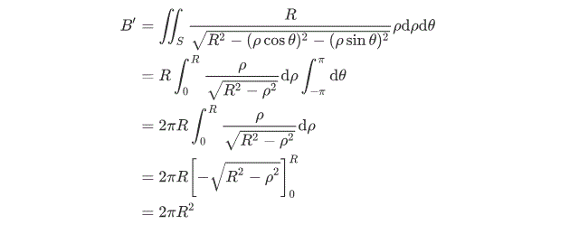
球 表面積 証明 中学- 球の体積をVと書くことにすると となります。 球の表面積の証明 球の表面積は球の体積から求められます。 感覚的な議論になりますが、立体図形を理解する上で重要なポイントが出てきます。 球を「球の中心を頂点とする円錐」の集まりとみなすと、球の体積は球の表面積に半径をかけて3で割った値になります。 なぜなら円錐の体積は底面と高さをかけて3で割って求めるからです。球冠,球帯の表面積 高校数学の範囲外ですが,計算は体積より簡単です。 非常に美しい結果です。 球冠,球帯の表面積はその高さに比例する。 注:球帯の高さとは底面と天面の距離です。 球の体積と表面積の公式の覚え方・積分での求め方 の表面積の証明1とほぼ同じことをやるだけです。 証明 もとの球の半径を r r とする。 \Delta\theta Δθ を十分 0 0 に近い正の数として,緯度が \theta θ から
数学 球体的面积公式证明 Ydfind的博客 Csdn博客
2次元の超球の体積(円の面積)は \(4\pi r^2\) 。 3次元の超球の体積(球の体積)は \(\displaystyle\frac{4}{3}\pi r^3\) 。 これを一般化します。 表面積は体積を微分するだけなので、とりあえず体積だけを考えていきます。球の体積、表面積の覚え方と導出まとめ! 高校数学|塾講師ステーション情報局 数学講師必見中学数学でも必須! 球の体積、表面積の覚え方と導出まとめ! 高校数学 今回は球の表面積と体積の公式の確認およびその導出を紹介します。『球と円柱について』(ギリシア語 Περὶ σφαίρας καὶ κυλίνδρου )は、紀元前225年ごろアルキメデスにより発表された2巻からなる著作 。 最も注目すべきは、球面の表面積や球体の体積、円柱のそれにあたる値を見つけ出す方法が詳しく書かれていることであり、アルキメデスはこれ
球の表面積① 先ほどの例では、球の表面積は求めることができなかったので、今度は積分する方向を変えてみたいと思います。 平面の円があることは変わらないのですが、 軸から 軸に向けて を動かすことを考えます。 このとき の扇型の円周の長さ は以下のようになります。 となります。 またこの短い線(点)は 軸を中心に円を描くことになるので、円の半径 を用いて円周 を表すと よって表面 球の表面積を求める公式が であることを説明するGIFアニメをネット上で見つけました。 その見せ方がとてもかっこよかったので、Twitterでツイートしたところ。。 球の表面積が4πr^2であることの説明。うわぁ、見せ方がカッコイイ。と思ったけど、理解するまでに時間がかかった 球の表面積の求め方の公式を1発でおぼえる方法 球の表面積の求め方の公式である、 4×π×半径の二乗 を一発で暗記してできちゃう語呂を紹介しよう。 このイメージさえ掴んじまえば、テストでも公式を忘れないはず! 球の表面積の公式を暗記するため
球 表面積 証明 中学のギャラリー
各画像をクリックすると、ダウンロードまたは拡大表示できます
圆球表面积 球体表面积的公式证明 篆体字转换器 | ![]() 圆球表面积 球体表面积的公式证明 篆体字转换器 | ![]() 圆球表面积 球体表面积的公式证明 篆体字转换器 |
![]() 圆球表面积 球体表面积的公式证明 篆体字转换器 | 圆球表面积 球体表面积的公式证明 篆体字转换器 | 圆球表面积 球体表面积的公式证明 篆体字转换器 |
![]() 圆球表面积 球体表面积的公式证明 篆体字转换器 | 圆球表面积 球体表面积的公式证明 篆体字转换器 | 圆球表面积 球体表面积的公式证明 篆体字转换器 |
圆球表面积 球体表面积的公式证明 篆体字转换器 | 圆球表面积 球体表面积的公式证明 篆体字转换器 | ![]() 圆球表面积 球体表面积的公式证明 篆体字转换器 |
![]() 圆球表面积 球体表面积的公式证明 篆体字转换器 | 圆球表面积 球体表面积的公式证明 篆体字转换器 | 圆球表面积 球体表面积的公式证明 篆体字转换器 |
圆球表面积 球体表面积的公式证明 篆体字转换器 | 圆球表面积 球体表面积的公式证明 篆体字转换器 | 圆球表面积 球体表面积的公式证明 篆体字转换器 |
圆球表面积 球体表面积的公式证明 篆体字转换器 | ![]() 圆球表面积 球体表面积的公式证明 篆体字转换器 | 圆球表面积 球体表面积的公式证明 篆体字转换器 |
圆球表面积 球体表面积的公式证明 篆体字转换器 | 圆球表面积 球体表面积的公式证明 篆体字转换器 | ![]() 圆球表面积 球体表面积的公式证明 篆体字转换器 |
![]() 圆球表面积 球体表面积的公式证明 篆体字转换器 | 圆球表面积 球体表面积的公式证明 篆体字转换器 | 圆球表面积 球体表面积的公式证明 篆体字转换器 |
圆球表面积 球体表面积的公式证明 篆体字转换器 | ![]() 圆球表面积 球体表面积的公式证明 篆体字转换器 | 圆球表面积 球体表面积的公式证明 篆体字转换器 |
![]() 圆球表面积 球体表面积的公式证明 篆体字转换器 | 圆球表面积 球体表面积的公式证明 篆体字转换器 | 圆球表面积 球体表面积的公式证明 篆体字转换器 |
![]() 圆球表面积 球体表面积的公式证明 篆体字转换器 | ![]() 圆球表面积 球体表面积的公式证明 篆体字转换器 | ![]() 圆球表面积 球体表面积的公式证明 篆体字转换器 |
圆球表面积 球体表面积的公式证明 篆体字转换器 | 圆球表面积 球体表面积的公式证明 篆体字转换器 | 圆球表面积 球体表面积的公式证明 篆体字转换器 |
![]() 圆球表面积 球体表面积的公式证明 篆体字转换器 | 圆球表面积 球体表面积的公式证明 篆体字转换器 | ![]() 圆球表面积 球体表面积的公式证明 篆体字转换器 |
![]() 圆球表面积 球体表面积的公式证明 篆体字转换器 | 圆球表面积 球体表面积的公式证明 篆体字转换器 | ![]() 圆球表面积 球体表面积的公式证明 篆体字转换器 |
圆球表面积 球体表面积的公式证明 篆体字转换器 | 圆球表面积 球体表面积的公式证明 篆体字转换器 | ![]() 圆球表面积 球体表面积的公式证明 篆体字转换器 |
![]() 圆球表面积 球体表面积的公式证明 篆体字转换器 | ![]() 圆球表面积 球体表面积的公式证明 篆体字转换器 | ![]() 圆球表面积 球体表面积的公式证明 篆体字转换器 |
![]() 圆球表面积 球体表面积的公式证明 篆体字转换器 | 圆球表面积 球体表面积的公式证明 篆体字转换器 | 圆球表面积 球体表面积的公式证明 篆体字转换器 |
圆球表面积 球体表面积的公式证明 篆体字转换器 | 圆球表面积 球体表面积的公式证明 篆体字转换器 | 圆球表面积 球体表面积的公式证明 篆体字转换器 |
圆球表面积 球体表面积的公式证明 篆体字转换器 | ![]() 圆球表面积 球体表面积的公式证明 篆体字转换器 | 圆球表面积 球体表面积的公式证明 篆体字转换器 |
圆球表面积 球体表面积的公式证明 篆体字转换器 | ![]() 圆球表面积 球体表面积的公式证明 篆体字转换器 | ![]() 圆球表面积 球体表面积的公式证明 篆体字转换器 |
圆球表面积 球体表面积的公式证明 篆体字转换器 | ![]() 圆球表面积 球体表面积的公式证明 篆体字转换器 | ![]() 圆球表面积 球体表面积的公式证明 篆体字转换器 |
![]() 圆球表面积 球体表面积的公式证明 篆体字转换器 | ![]() 圆球表面积 球体表面积的公式证明 篆体字转换器 | ![]() 圆球表面积 球体表面积的公式证明 篆体字转换器 |
![]() 圆球表面积 球体表面积的公式证明 篆体字转换器 | 圆球表面积 球体表面积的公式证明 篆体字转换器 | ![]() 圆球表面积 球体表面积的公式证明 篆体字转换器 |
圆球表面积 球体表面积的公式证明 篆体字转换器 | 圆球表面积 球体表面积的公式证明 篆体字转换器 | 圆球表面积 球体表面积的公式证明 篆体字转换器 |
![]() 圆球表面积 球体表面积的公式证明 篆体字转换器 | ![]() 圆球表面积 球体表面积的公式证明 篆体字转换器 | ![]() 圆球表面积 球体表面积的公式证明 篆体字转换器 |
圆球表面积 球体表面积的公式证明 篆体字转换器 | 圆球表面积 球体表面积的公式证明 篆体字转换器 | 圆球表面积 球体表面积的公式证明 篆体字转换器 |
圆球表面积 球体表面积的公式证明 篆体字转换器 | ![]() 圆球表面积 球体表面积的公式证明 篆体字转换器 | ![]() 圆球表面积 球体表面积的公式证明 篆体字转换器 |
圆球表面积 球体表面积的公式证明 篆体字转换器 | 圆球表面积 球体表面积的公式证明 篆体字转换器 | 圆球表面积 球体表面积的公式证明 篆体字转换器 |
![]() 圆球表面积 球体表面积的公式证明 篆体字转换器 | ![]() 圆球表面积 球体表面积的公式证明 篆体字转换器 | 圆球表面积 球体表面积的公式证明 篆体字转换器 |
![]() 圆球表面积 球体表面积的公式证明 篆体字转换器 | ![]() 圆球表面积 球体表面积的公式证明 篆体字转换器 | 圆球表面积 球体表面积的公式证明 篆体字转换器 |
![]() 圆球表面积 球体表面积的公式证明 篆体字转换器 | 圆球表面积 球体表面积的公式证明 篆体字转换器 | ![]() 圆球表面积 球体表面积的公式证明 篆体字转换器 |
圆球表面积 球体表面积的公式证明 篆体字转换器 | 圆球表面积 球体表面积的公式证明 篆体字转换器 | 圆球表面积 球体表面积的公式证明 篆体字转换器 |
このページは、 中学1年生で習う「球の表面積を求める問題集」が無料でダウンロードできる ページです。 この問題のポイント ・半径rの球の表面積Sは、次の公式を使って求めることができます。 S = 4 π r 2 ぴよ校長 球の表面積は、半径がわかれば上のこれにより n次元球体の体積が指数函数的に減少することの別証明が得られる( n が十分大きいとき、因子 R √ 2 π e/n は 1 より小さく、従って先ほどと同じ論法が適用できる)。 表面積との関係 半径 R の n次元超球面の表面積を A n (R) と書く
Incoming Term: 球 表面積 証明, 球 表面積 証明 中学, 球 表面積 最小 証明,














































0 件のコメント:
コメントを投稿